森林康养资源评价模型构建分析,你为什么要开展森林健康活动?)
森林康养资源评价模型构建分析
你为什么要开展森林健康活动?森林保健的定义:“森林保健”是指采取森林景观、环境、食物、生态文化等。作为主要资源和支撑(载体),配备相应的康复疗养服务设施,开展一系列有益于人体身心健康的活动,如森林游憩、度假、疗养、康复、船舶度假、体育运动等。为了培养道德、养心、调节机能、延缓衰老。

“森林康养”到底怎么“玩”,来看大咖观点
森林保健是目前流行的新词,学术界没有统一的定义。 然而,无论如何定义,它的本质都是一样的。 森林保健是一个特别定义的行业,它应该包括以下含义:1 .森林保健是以人为本、以森林为基础、以健康为基础和以营养为基础的 它充分体现了“创新、协调、绿色、开放、共同”,聊斋电视剧、聊斋电视剧、(22)森林保健就是依托森林生态资源,开展森林游憩、度假、疗养、船舶保健等活动 森林中有一种对人类健康极其有益的物质——负离子。据测量,城市房屋每立方厘米只有40-50个负离子,树木林立地区有120个,森林中有1万-5万个负离子,可以通过百度查询。 向阳怡和森林保健有限公司是2017年8月10日在湖北省襄阳市南漳县注册的有限责任公司(由自然人投资或控制,注册地址为南漳县经济开发区华中绿谷绿谷大道5号 襄阳一禾森林保健有限公司统一的社会信用代码/注册号为91420624MA490X9Q25,企业法。
你为什么要开展森林健康活动?)
你为什么要开展森林健康活动?森林保健的定义:“森林保健”是指采取森林景观、环境、食物、生态文化等。作为主要资源和支撑(载体),配备相应的康复疗养服务设施,开展一系列有益于人体身心健康的活动,如森林游憩、度假、疗养、康复、船舶度假、体育运动等。为了培养道德、养心、调节机能、延缓衰老。

“森林康养”到底怎么“玩”,来看大咖观点
森林康养资源评价模型构建分析范文
摘要:首先简要介绍了森林保健的内涵和类型,建立了森林保健资源评价指标的基本框架,包括森林清洁度、气候适宜性、景观美和资源丰富度四个标准层和21个具体指标。其次,结合专家对不同保健类型评价指标重要性的判断,采用色谱分析法计算相应评价指标的权重值,并对四种保健活动的核心要素指标进行分析。最后,提出了完善生态环境检测体系、加强森林景观建设、完善基础设施建设、保护自然资源和人力资源的建议。
关键词:森林保健;资源评估;保健类型;要素指标;

摘要:(1)背景——健康中国战略上升为国家战略。森林疗养作为健康产业的重要组成部分,正处于快速发展的初级阶段。对森林疗养资源评价和森林疗养基地建设规划的需求日益迫切。(2)方法——在论述森林疗养内涵和要素的基础上,建立了森林疗养资源评价指标的基本框架,包括森林清洁度、气候适宜性、景观美和资源丰富度四个标准层和21个具体指标。森林疗养分为四类:身体保健、心理调节、运动健身、科普教育。结合专家对不同疗养类型评价指标重要性的判断,利用层析成像分析计算相应评价指标的权重值。(3)结果——以高质量的森林环境和活动为基础,以维持和调节旅游者的身体健康为目的的生理康复。森林清洁度是核心标准层。优质的森林气候、丰富的植物精华和高空气负离子含量是其核心元素。适宜的温度、良好的空气质量、富氧环境和安静的声学环境也是重要条件。心理调节疗养旨在以丰富的森林景观和开放的观光为基础,开展森林生态旅游和森林静态疗养活动。游客接触自然,感受森林和自然的魅力,培养气质,调节精神状态,缓解紧张、抑郁、焦虑等情绪。景观美是核心标准层。开放的垂直空间结构扩大了观光视野,丰富的森林类型提供了不同的感官刺激,结合适当的温度和合理的树冠闭合,有效调节了游客的心理状态。体育健身疗养旨在开展以大型森林内部空间为基础的身心活动。资源丰富度是核心标准层,较大的森林面积是基本条件,充足的场地有利于开展各种体育健身活动,良好的空间可达性更便于游客参与,合理的林冠封闭和绿色能见度提供了绿色舒适的环境。科普教育的目的是开展以丰富的人力资源和有形的自然资源(水体、动植物、土地、矿产等)为基础的研究活动。资源丰富度也是核心标准层。丰富的物质资源和长期的人力资源是森林科学教育的核心指标。适宜的温度、开阔的森林垂直空间结构和良好的可达性为森林研究提供了良好的基础。(4)结论与讨论——建立了森林健康资源评价框架,包括四个标准层次和21个具体指标,列出了单个因子指标的具体解释。将森林疗养活动的类型分为身体疗养、心理调节疗养、体育健身疗养、科教疗养4类,分析了这4类森林疗养活动的核心因子指标。最后,提出了完善生态环境检测体系、加强森林景观建设、完善基础设施建设、保护自然资源和人力资源的建议。
关键词:森林恢复;资源评估;疗养型;要素指数;
森林作为一种重要而独特的保健资源,以其高品质的富氧森林环境、丰富多彩的森林景观和厚重深厚的森林保健文化为基础,以不同群体的保健需求为导向,以科学的保健知识为支撑,以完善的森林保健产品[1,2,3]为支撑,吸引着越来越多的游客。森林保健要素理论研究和保健资源评价研究进展迅速,取得了一系列成果。在森林资源生理恢复功能研究方面,森林生理恢复要素的具体指标(芬顿净含量、空空气负离子浓度、空空气颗粒物浓度等。)进行选择,并着重研究其生理康复功能和时间空变化规律,辅以评价方法和评价参考标准[4,5,6,7,8,9,10,11,12,13,14,15,16];在心理康复的景观结构研究方面,选择森林视觉(景观美感度)、嗅觉([/k0/]空气质量)、听觉(声环境)等感官的影响之一作为重点调查对象,并对人类心理反应进行相应的评价,或者重点对森林对人类视觉、听觉和嗅觉的多感官综合影响进行综合评价[17、18、19、20、21、22、23、24];在森林健康维护基地建设适宜性研究中,以森林健康维护因子综合指标为基础,辅以评价方法和评价参考标准[25、26、27];在评价方法的理论研究方面,综合评价结合了传统的定性评价方法(风景名胜评价法、336评价法、六字标准法等)。)用定量评价方法(层次分析法、德尔菲法、模糊综合评价法、国家标准评价法等。)是当前的研究方向[28、29、30、31、32、33、34、35、36、37、38、39、40、41、42、43、44、45、46、47、48、49]。一般来说,关于森林保健要素及其时间空的研究很多,而关于森林保健资源综合评价的研究还处于发展的初级阶段。虽然很少有数学家总结出森林保健旅游的评价指标体系,但随着各地区森林保健示范基地建设的快速发展,现有的评价指标体系难以普遍适用于不同地区和类型的森林保健基地规划建设,容易造成森林保健资源利用率低、保健旅游形式单一、保健效果差等问题。因此,本文在总结基于保健功能的森林资源评价总体指标和个体指标解释的基础上,试图提出多种保健活动类型,并根据不同类型的保健活动选择不同的评价指标及其权重值,希望能因地制宜地开展多种类型的森林保健活动,提高保健资源的利用率,丰富保健活动的内容,增强保健活动的效果。
1,材料和方法
1.1,索引选择
根据科学性、实用性和可比性原则,通过查阅整理森林健康营养因子、景观美评价、森林资源评价等相关文献。[25,26,27,28,29,30,31,32,33,34,35,36,37,38,39,40,41,42,43,44,45,46,47,48,49],并结合相关国家标准和行业标准,根据指标层(森林健康与养护资源评价指标)的构成要素和指标体系中各项指标的隶属关系,将评价指标分为等级,并通过归纳总结,建立了以森林健康维护资源评价为总体目标层的森林健康维护资源评价指标体系,由4个标准层和21个具体指标组成。森林健康资源评价指标及说明见表1。
表1森林健康资源评价指标及解释

1.2。分析方法
为提高保健资源利用率,丰富保健活动形式,增强保健效果,根据森林资源保健功能综合评价指标,森林保健活动分为生理保健、心理调节保健、体育保健、科普教育保健四类。通过层次分析法,计算出基于不同保健类型的各标准层和指标层的权重值。即以森林健康资源评价指标为目标层,构建层次结构模型。利用Excel软件计算不同森林保健类型下各标准层和指标层所有问卷调查专家的重要性得分,并计算各标准层和指标层的平均得分作为其重要性的参考依据。建立判断矩阵,计算不同森林保健类型下相应标准层和指标层的权重值,并通过一致性检验。
1.3,[调查方法/s2/]
2018年6月2日至25日,选择林业、生态学、园林、心理学、旅游等相关领域深入研究的专家作为咨询专家,通过电子邮件向江西农业大学教授、副教授、南京林业大学教授、副教授、江西林业学院高级工程师、江苏中国科学院植物研究所高级工程师发送了40份问卷,收集到40份有效问卷。问卷包括森林健康维护资源评价指标及其解释表、森林健康维护分类表和李克特量表,其中李克特量表将个体评价指标的重要性分为“非常重要”、“重要”、“一般”、“不太重要”和“不重要”5个等级。请咨询专家,根据不同类型的医疗保健判断评价指标的重要性。
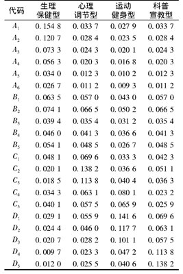
2,结果和分析
表2基于不同森林保健类型的评价指标权重值

根据专家对不同森林保健类型下各标准层和具体评价指标重要性的判断,采用层次分析法计算其权重值。不同森林保健类型评价指标的权重值见表2。
2.1。生理保健活动取决于[森林的气候环境/s2/]
生理保健以优质的森林环境为基础,开展森林浴、植物精华浴、负氧离子呼吸体验、森林漫步等活动。维护和调节保健人群的生理健康。开展生理保健保健活动,森林清洁度(0.465 8)是核心标准层,其他标准层根据其重要性排序为气候适宜性(0.277 1)>景观美(0.161 1)>资源丰富度(0.096 0)。这表明生理保健活动主要取决于森林的气候环境。丰富的植物耐受性和空空气中高含量的负氧离子是核心元素。合适的温度、良好的空空气质量、富氧环境和安静的声学环境也是重要条件。
2.2。心理调整和保健活动取决于[森林的美丽/s2/]
心理调节保健活动,如森林观光和森林冥想,主要是借助丰富的森林景观和广阔的视野进行的。游客呆在大自然中,感受森林和大自然的魅力,培养气质,调节心理状态,缓解紧张、抑郁、焦虑等情绪。为了开展心理调节型保健活动,风景美(0.442±2)是核心标准层,其他标准层根据其重要性排序为气候适宜性(0.248±8)>资源丰富性(0.178±9)>森林清洁度(0.130±1)。这说明保健活动的心理调节主要取决于森林的美丽景色。开放式垂直空结构可以扩大视觉,丰富的植物景观和森林类型提供不同的感官刺激。结合适宜的温度和合理的冠层密度,可以有效调节保健人群的心理状态。
2.3。体育、健身和健康活动取决于[森林的场地条件和基础设施/s2/]
体育健身班以大型森林空为载体开展健康健身活动,如穿越丛林、森林瑜伽、森林太极、森林真人CS、山地自行车、山地马拉松、森林极限运动、森林球类游戏等。对体育健身活动而言,资源丰富度(0.448±2)是核心标准层,其他标准层根据其重要性排序为景观美(0.256±3)>气候适宜性(0.187±7)>森林清洁度(0.107±8)。这表明体育健身活动主要取决于场地条件和森林基础设施。大森林面积是活动的基本条件。充足的体育健身活动场地有利于发展多种形式和类型的体育健身活动。空之间的良好可访问性更便于人们参与其中。合理的森林郁闭度和绿色能见度提供了绿色舒适的运动健身环境。
2.4。科普教育和保健活动取决于[森林的自然和人力资源/s2/]
科普教育和健康教育以丰富的人力资源和有形的自然资源(水、动植物、土地、矿物等)为基础。),并为游客或学生开展优秀传统文化、森林健康知识、健康文化和生态文明教育等研究活动。此外,资源丰富度(0.442 2)也是开展科普教育型保健活动的核心标准层,其他标准层按重要性依次为气候适宜性(0.248 8)>景观美(0.178 9)>森林清洁度(0.130 1)。这表明,科普教育和保健活动取决于森林的自然资源和人力资源。丰富历史悠久的有形自然资源和人力资源是开展森林科普教育的核心指标。适宜的温度、开阔的垂直空结构和良好的可达性为森林研究提供了良好的基础条件。
3。结论和建议
3.1,结论
建立了森林健康维护资源评价指标框架,包括4个标准层和21个具体指标。列出了单个因素指标的具体解释。森林健康与维护活动的类型分为4类:生理健康与维护、心理调节、体育健身与健康维护、科普教育与健康维护。森林清洁是开展生理保健保健活动的核心。关键指标是植物杀菌素含量和空阴离子浓度。心理调节型保健活动的核心是景观美,关键指标是垂直空结构和植物形态。开展健身活动的核心是资源的丰富性,关键指标是森林面积、体育场馆和空;开展科普教育型保健活动的核心是资源的丰富性,关键指标是有形的自然资源和人力资源。
3.2,建议
一是完善生态环境监测体系。加强对生态环境数据的监测,特别是植物精华、空气负氧离子含量、空空气颗粒浓度、空氧含量、森林小气候等生理保健核心要素的指标。植物霉素具有缓解心理压力、提高免疫细胞活性、增加抗癌蛋白数量等作用。空气体的负离子能吸附、聚集和沉降空气体中的污染物和悬浮颗粒,净化空气体;氧气是人类生活活动中的关键物质。富氧环境可以延长寿命。适当的温度、湿度、风速和安静的声音环境有助于娱乐人士恢复和更新他们的注意力,表现出更积极的态度和更少的消极情绪。详细的生态环境数据有助于更好地掌握森林保健基地的生态环境状况及其变化,为生理保健旅游提供理论指导,开展具有较好保健效果的生理保健活动。
第二,加强森林景观建设。不同的林分类型和树种组成可以提供不同的感官刺激和保健效果。提高森林的景观美,优化观赏林的垂直空结构和景观结构,控制观赏区森林合理的郁闭度和绿视率,有效拓展游憩景观。丰富的植物形态将给娱乐带来放松的精神感受,并提供不同的感官刺激体验。灌木丛较少的更广阔的森林给人们一种舒适和良好的感觉,并能增强人们的安全感。森林创造了一个休闲休闲休闲空的空间,它受到各种人类感官的影响,包括视觉(风景)、嗅觉(木头的气味)、听觉(溪流或落叶的声音)和触觉(树叶表面和树木的触摸),并帮助休闲人释放情绪、缓解压力、获得身心放松和休息,在绿色环境中获得健康的感觉。
第三,完善基础设施建设。提供足够的运动和健身场所,为运动和健身创造绿色舒适的环境。森林面积的大小和减轻压力的能力之间有积极的变化。在面积较大的森林环境中,人们更有可能获得回归自然的心理感受,这种效应对于活动范围有限的人尤为显著。森林面积的大小也会影响休闲心理,更大的绿地面积可以给休闲人带来情感上的快乐。森林的位置空也将影响人们参与活动的程度,确保良好的可达性空,这有利于增强人们参与活动的热情,也更方便休闲人群开展各种类型的健康和营养活动。
第四,保护自然资源和人力资源。丰富的自然资源和人力资源是开展多种形式森林保护活动、提高自然资源保护意识和强度、加强人力资源修复和宣传的基础,为开展森林科普教育和组织森林研究活动提供了良好的基础条件。
参考:[/s2/]
邓三龙。林保健的理论研究与实践[。《世界林业研究》,2016,29 (6) :1-6。
吴侯建,辛秋,刘石昊,等。森林保健:概念内涵,产品类型和发展路径[。生态学杂志,2018,37 (7) :2159-2169。
[3]程希平,董李沁,龚鹤德,等。森林体验基地建设模式与路径研究[。林业资源管理,2016 (2) :25-29。
王伟,张邱智。城市居住区负离子浓度空变化及空气体质量评价:合肥市[市案例研究。生态环境杂志,2014,23 (11) :1783-1791。
曹建新、张保贵、张游杰。[[/k0/]空气负离子在海滨和森林环境中的分布特征及其与环境因子的关系[]。生态环境杂志。2017年,26 (8) :1375-1383。
熊立军,赵艳培,黄申发,等。基于空空气负离子的生态土地健康效益评价[。生态环境杂志,2014,23 (6) :985-991。
张潘智,俞义武,孟郝明,等.旅游环境中空气负离子的研究进展[[/k0/][]。浙江林业大学学报,2006,23 (1) :103-108。
苏伟,张帅军,莱辛云,等。时间空PM2动力学。[5][和PM10 .应用生态学杂志,2017,28 (1) :257-265。
史强、钟林升、吴楚才。[林业环境空气负离子浓度分级标准[[/k0/]]。中国环境科学,2002,22 (4) :33-36。
赵宏伟,李春友,葛镜如,等.森林环境中空气负离子的研究进展[[/k0/][]。西北林业大学学报,2007,22 (2) :57-61。
叶文,潘刘阳,严琦,等。森林挥发物保健功能的研究进展[。《世界林业研究》,2017,30 (6) :19-23。
钟林升、吴楚才、肖敦宁。[[/k0/]空气负离子在森林旅游资源评价中的研究[]。生态学杂志,1998,17 (6) :57-61。
史强,舒方慧,钟林升,等。森林游憩区空气负离子评价空[。林业科学,2004,40 (1) :36-40。
吴楚才、郑群明、钟林升。森林游憩区空气负离子水平的研究[[/k0/][J]。林业科学,2001,37 (5) :75-81。
曾淑才、苏志耀、陈蓓光。中国森林空气负离子研究进展空[。南京林业大学学报(自然科学版),2006,30 (5) :107-111。
王伟,于壮。[空气负离子在中国城市环境中的研究进展[。生态环境杂志,2013,22 (4) :705-711。
张双全,胡雪儿,赵晓彤,等。基于SAS的森林心理保健功能研究。中南林业科技大学学报(社会科学版),2018,12 (2) :77-82。
[18] Xi广发,方成,王成,等.森林保健生理心理学研究进展[]。《世界林业研究》,2011,24 (3) :37-41。
[19]王晓俊。林景美的心理物理学评价方法[。《世界林业研究》,1995 (6) :8-15。
[20]陈开远,钟永德。[森林旅游引入心理保健功能的可行性分析。中南林业科技大学学报(社会科学版),2010,4 (3) :48-50。
陈飞平、王余庆、李华。林自然声景的心理健康功能研究[。《林业经济》,2016,38 (9) :95-99。
[22]薛群辉,鲍亚。心理咨询森林休闲旅游产品的创新设计[。浙江林业大学学报,2010,27 (1) :121-125。
陈新峰,王艳。心理物理学方法在国外森林景观评价中的应用[。林业科学,1999,35 (5) :110-117。
张哲,李霞,潘浩,等。运用层次分析法和人体生理心理指标评价深圳公园绿地植物景观[。北京林业大学学报(社会科学版),2011,10 (4) :30-37。
乔永强、刘王超、汪道阳。[森林健康维护基地建设研究。林业资源管理,2017 (2) :93-96。
[26]李济仁,徐东。[森林健康旅游评价指标体系的构建研究。《林业经济》,2018,40 (3) :28-34。
张志强谭一民。[森林健康支持基地规划设计研究。湖南工业大学学报,2017,31 (1) :1-9。
[28]周亮宣。基于层次分析法的运城盐湖区生态旅游资源评价与开发研究。山西:山西大学,2017:37-43。
朱李雪,东文健,李小河,等。福建农村滨水景观质量评价研究[。长江大学学报(紫科版),2015,12 (15) :27-30。
欧阳训之、廖伟明、彭森丹尼尔。《森林景观资源质量评价与管理》[。江西农业大学学报(自然科学版),2004,26 (2) :169-173。
陈勇,孙兵,廖邵伯,等。深圳市城市森林景观美景度评价[。林业科学,2014,50 (8) :39-44。
[32]张博雅。[自然保护区生态旅游资源的分类与评价。北京:北京林业大学,2016:36-60。
[33]王伟光。[巴沙尔岛国家湿地自然保护区生态旅游资源评价及开发策略研究。哈尔滨:东北林业大学,2010:32-39。
[34]马之銮。[成都山水乡村旅游开发适宜性评价及可持续利用研究。成都:成都理工大学,2010:37-41。
[35]程干。基于游客感知的古村落旅游资源评价研究[。《经济地理学》,2010,30 (2) :329-333。
田东方张清秀。基于层次分析法的阿尔山市旅游资源评价与开发分析。内蒙古农业大学学报(自然科学版),2011,32 (1) :148-151。
宋洪娟,余红仙。[三江自然保护区乡村旅游资源评价。东北林业大学学报,2007,35 (3) :82-85。
黄方振,袁王林,黄燕玲,等。生态旅游资源定量评价指标体系及评价方法:以江苏海滨为例。生态学报,2008,36 (4) :1655-1662。
李惠琴,侯林春,王林,等。黄土高原地区生态旅游资源评价研究:以山西省中阳县为例。山西师范大学学报(自然科学版),2009,23 (1) :110-115。
孟令一,王艳,张亚男,等。基于指标评价法的森林旅游资源评价。林业科学与技术,2010,35 (4) :76-77。
[41]王梁健。完善现行旅游资源评价体系和方法创新[。旅游杂志,2006,21 (2) :12。
张敬群、吴万星、万廷春。陕西太平森林公园森林景观资源评价[。西北林业大学学报,2006,21 (2) :168-171。
龚全明。[黄河壶口瀑布国家地质公园旅游资源评价。中国地质学报,2009,30 (3) :325-338。
卢小梅、张馨、高树春。[森林健康旅游发展潜力评价研究。《林业经济问题》,2017年,37 (1) :44-49。
张颖。森林旅游发展融入国家森林城市建设研究——以江西省吉安市为例[。《林业经济问题》,2017,37 (3) :41-45。
黄元浩、陈秋华、秀新田。基于时间序列主成分方法的省级森林旅游竞争力研究[[]。《林业经济问题》,2017,37 (6) :45-51。
朱颖,张斌,倪宏伟,等。基于公共产品供给理论的森林生态产品产出效率比较分析[。《林业经济问题》,2018,38 (2) :25-32。
张志勇。[城市森林保健功能的研究进展。《世界林业研究》,2014,27 (36) :27-33。
潘刘阳,刘元秋,曾进,等。基于健康与维护功能的森林资源评价指标体系研究。《林业经济》,2018,40 (8) :53-57,107。
李清。森林医学[。第三版。北京:科学出版社,2013:15-49。
郭兰。[西湖风景区人工植物群落空空气负离子与景观评价研究。浙江:浙江林业大学,2009:27-37。
张伟康、王兵、牛祥。北京不同污染区园林植物对空空气颗粒物的吸收能力[。环境科学,2015,36 (7) :2381-2388。
张伟康、王兵、牛祥。北京森林植被冠层对空气溶胶粒子的调节作用[。应用与环境生物学杂志,2018,24 (2) :254-259。
王成,王晓磊。城市森林调节功能的研究进展[[/k0/]空气颗粒物[J]。生态学报,2014,34 (8) :1910-1921。
郑邵伟,陈俊华,李艳琼,等。道路绿化林带对空空气颗粒物浓度的影响[。甘肃农业大学学报,2017,52 (5) :61-67。
[56]韩陈明。[城市森林保健功能指数评价研究。北京:中国林业研究所,2011:93-100。
[57]陈飞平,廖伟明。基于问卷调查法的森林声景观评价研究[[]。生态经济,2011 (1) :160-161。
齐金达,傅丛薇,李炜,等。基于地理信息系统和SBE方法的岐山国家森林公园景观视觉评价。西北林业大学学报,2015,30 (2) :245-250。
陈子儒,傅丛薇,朱志鹏,等。福建省低山丘陵地区农田景观评价研究。[。安徽农业大学学报,2016,43 (5) :787-792。
张前进,吴泽民,周闻。[市城市景观生态林景观美评价。安徽农业大学学报,2014,41 (2) :188-192。
宋丽,何兴元,徐文铎,等。城市森林景观美景度的确定[。生态学杂志,2006,25 (6) :621-624。
陈毅,林一伟,朱志鹏,等。基于遥感和地理信息系统的莆田市土地利用景观格局变化分析。[。西北林业大学学报,2017,32 (1) :279-286。
林丽丽,东文健,刘兴钊,等。森林公园生态系统服务功能评价综述[。森林资源管理,2017 (1) :19-26。



