公司价值评估理论及评估模型,专利价值评估指标体系与专利质量的关系
公司价值评估理论及评估模型
专利价值评估指标体系与专利质量的关系在专利价值评估研究中,如何建立科学的专利价值评估指标体系和评估模型已成为理论界和实务界的热门话题。一般来说,影响专利价值的因素分为四类:技术因素、市场因素、竞争因素和法律因素。通过对各种影响因素和作用机理的分析,建立了专利价值评估体系。

创业期企业适合用什么评估模型进行价值评估?
企业价值评估是以企业所有资产为评估对象的价值判断和评估过程。 成本加成法、市场法和收益法是企业传统的估价方法。 针对传统估值方法的缺陷,探讨了经济增加值估值模型和期权定价模型在企业价值评估中的应用。 首先,缺乏传统的企业价值评估方法,将股票估值分为以下几个模型:1 .DDM模型(股息贴现模型/股息贴现模型)2。DCF/贴现现金流/贴现现金流模型)(1) FCFE(股权股权自由现金流/股权自由现金流模型)模型(2)FCFF模型(自由现金flo),用企业价值评估方法对目标企业价值的合理评估,是企业并购和对外投资过程中经常遇到的非常重要的问题之一 合适的评价方法是准确评价企业价值的前提 本文将重点研究企业价值评估的核心方法,并从这些方法的基本原则、适用范围和局限性等方面进行分析。它没有从经济周期、行业、财务状况、股票资本、预锁定、品牌价值、渠道优势等主要财务状况的角度来研究股票的内在价值。如果一只股票的财务状况良好,它的价格就会低于它的价值,总有一天当它的流动性很大时,它会上涨。 这也是一种价值投资。
专利价值评估指标体系与专利质量的关系
专利价值评估指标体系与专利质量的关系在专利价值评估研究中,如何建立科学的专利价值评估指标体系和评估模型已成为理论界和实务界的热门话题。一般来说,影响专利价值的因素分为四类:技术因素、市场因素、竞争因素和法律因素。通过对各种影响因素和作用机理的分析,建立了专利价值评估体系。

创业期企业适合用什么评估模型进行价值评估?
公司价值评估理论及评估模型范文
本文的目录导航:
[标题]遗传算法余热供暖公司股权价值评估研究(点击此处返回查看更多工商管理硕士论文)
[第1章]余热供暖公司股权价值评估简介
[第2章]公司价值评估理论与评估模型
[第3章]遗传算法公司评估方法选择
[第4章]公司股权价值评估
[第5章]提高遗传算法公司价值的建议
[第6章-参考文献]收益法分析评估股权价值
第2章 公司价值评估理论及评估模型
2.1公司评估价值概念公司价值评估
首先解决的问题是评估评的是什么,什么是评估的对象。一般认为公司评估的对象就是公司整体的经济价值。而公司整体的经济价值是在市场中反映的一种公平价值,是一种获得市场认可的公允价值。
2.1.1公司的整体价值
公司的整体价值观念主要体现在以下四个方面:
(1) 整体不是各部分的简单相加 虽然公司作为一个整体是由部分组成的,但它不是简单的部分之和,而是有机的结合在一起。这种有机的结合使公司作为一个整体,具有其部分所没有的整体功能,因此整体价值不同于每个部分的价值。这就像收音机是各个部分的有序组合,使收音机具有整体功能,这个功能不是任何部分的。所以收音机的价值不同于零件的价值。公司的全部职能是通过特定的生产经营活动来增加股东的财富,这种活动不属于任何一项资产。企业是有组织的资源,不同的资源组合方式可以产生不同的企业效率。公司单个资产的价值总和不等于公司的整体价值。资产反映在会计报表中的价值是单个资产的价值。资产负债表上的“总资产”是单个资产价值的总和,而不是公司的整体价值。一个公司的整体价值在于它能给投资者带来现金流。这些现金流量是所有资产组合使用的结果,而不是单独出售资产的现金流量。
(2) 整体价值来源于要素的组合 公司的整体价值来源于它的联系。只有当有机链接在整个公司的不同部分建立起来,公司才能成为一个有机整体。各部分之间的有机联系是整个公司形成的关键。一堆建筑材料不能称之为房屋,厂房、机械设备和人一起不能简单地称之为公司,关键是要根据一定的要求将它们有机地结合起来。同样的建筑材料可以形成不同的建筑。因此,企业资源重组意味着改变各种要素的组合,从而改变公司的功能和效率。
(3) 部分的价值只能体现在整体的价值上 公司是整体与部分的统一体,这在一定程度上取决于整体的主导部分。部分只能被看作整体,一旦它离开整体,它就失去了作为整体一部分的意义,就像一只手臂离开人体后就失去了它的功能一样。
公司的每个部门在整个公司中扮演着特殊的角色。一旦它与整体分离,它就有了另一个意义。公司的某些部分可以脱离单独的存在,如设备;有些部分不能单独存在,如商誉。单独的部分的价值与整体的价值不同。因此,当一个部门被剥离时,其作用就会不同于它作为公司一部分的原始功能。
(4)整体价值只能反映在运行中 公司的整个职能只能反映在公司的运作中。
企业是一个运转的有机体,一旦建立起来,就有了自己的“生命”和特征,并保持其整体功能。如果公司停止运营,整体功能丧失,不再具有整体价值。它只剩下一堆设备、库存和厂房,此时公司的价值就是这些资产的清算价值。
2.1.2公司整体经济价值类别
公司整体价值具体可以分为:实体经济价值和股权价值,持续经营价值和清算价值。
(1) 实体经济价值和股权价值 当在市场购买公司时,可以在不产生任何债务的情况下购买卖方资产,也可以同时购买其股票并同时承担其债务。例如,X公司用5亿元购买了Y公司的全部股份,并承担了公司Y的原始债务2亿元。此次收购的经济成本为7亿元。通常,人们说X买的Y公司用了5亿元,但不准确。对于X公司的股东来说,他们不仅要支付5亿美元现金,还必须在书面约定承担2亿美元的债务。事实上,他们不得不支付7亿美元,现在5亿美元,将来还要支付2亿美元,所以他们以7亿美元购买了Y公司的所有资产。因此,公司的资产价值和其股权价值是有很大差别的。公司实体价值包括股权价值和债务价值,也就是公司所有资产的总价值被称为“公司实体价值”.这里的股权价值不是财务报表所有者权益的账面价值,而是资本市场上公允市场价值。债务的价值也不是报表上的账面价值,而是债务公允的市场价值。大多数并购都是以购买公司股权的方式进行的,因此评估的最终目的和双方谈判的重点是卖方的公司股权价值。所以买方的实际交易成本等于公司股权价值加上其未来要偿还的债务价值。
(2) 持续经营价值和清算价值 向所有者提供价值的方式有两种:由其经营产生的未来现金流量的现值,称为持续经营价值;不再经营进行清算变卖产生的现金流的价值,称为清算价值。必须明确被评估公司是持续经营公司还是被清算公司,被评估的价值是持续经营价值还是清算价值。在大多数情况下,公司持续经营的价值被评估。公司持续经营的基本条件是其持续经营价值超过清算价值。根据财务管理的“自利原则”,当未来现金流量的现值大于清算价值时,投资者会选择继续经营。如果现金流量下降或资本成本上升,使未来现金流量的现值低于清算值,投资者将选择清算。公司持续经营的价值低于清算价值,应按清算价值应予清算。但是,也有例外,即那些控制公司的人拒绝清算,公司可以继续经营。这种持续经营破坏了股东可能通过清算获得的价值。
2.2公司价值评估方法
公司价值主流评估方法主要有三种,分别是:资产基础法、收益法和市场法。
2.2.1资产基础法
资产基础法俗称成本法评估,是建立在被评估公司资产负债表中资产和负债的财务数据为基础,测算公司价值的一种评估方法。
资产基础法是对被评估的公司的存量的资产进行评定估算,来确认其价值的方法。在评估公司资产的公允价值时,必须根据评估目的和要求选择合适的资产价值评估方法。
资产基础法一般包括五种评估方法,具体是:重置成本法、市场价值法、账面价值法、公平价值法、清算价值法。五种资产评估价值方法适用范围和要求不同,差异比较大。一般来说企业破产清算适用清算价值法;如果是以并购为目的,建立在公司持续经营基础上,一般重置成本和市场法就是重要的评估方法选项;单项资产出售,一般选择清算价值或者市场价值更为合适。
账面价值法依据会计核算中历史账面记载的静态净资产确定价值,是一种静态估价方法。平时在资本市场上较少适用,一般适用于国有企业之间资产划拨转让。
清算价值法是公司无法持续经营或因为某种原因持续经营前提丧失,以清算为目的来评估资产的价值的一种方法,一般来说清算价值法评估的价值偏低。
重置成本法是实务中应用较多的一种评估方法,先评估公司各单项资产某时点的重置成本,扣除因使用产生的有形损耗;技术和功能升级产生的功能性贬值;外部原因产生的经济性贬值, 扣除所有贬值后确认其各单项资产的重估价值。 把各项单项资产评估重置价值相加得出总资产的重置价值,然后再减去总负债的市场价值后,形成的价值作为公司的评估价值。
市场价值法是建立在公平、有效市场假设前提下,公司各项资产在市场中有其明确价格,实际能够成交的一种假设方法。
综述,资产基础法只单单考虑了各项资产个体价值,没有考虑公司经营是一个有效的整体,没有考虑资产有效整合带来的收益,与整体公司内在评估价值相比有一定差距。但是其方法计算简便、数据获取容易、直观简单、操作容易理解、非专业人士可接受强,目前在我国具体评估实务应用中比较广泛和重要。
资产基础法最大的缺点是只从资产静态的角度考虑公司价值,而公司真正的价值是未来给投资者带来的预期收益。没有考虑公司的未来发展等因素,只是考虑计入财务报表的中资产。对于无法具体反映的如竞争优势、人力资源、管理优势、公司文化、渠道管理、合作伙伴关系等因素,无法综合考虑,往往存在公司价值的低估。
2.2.2收益法
收益法一般是把公司带给投资者的预期收益按一定条件资本化,或采取合适的折现率折现到评估时点的价值评估方法。收益法是动态的从公司未来获利能力来考虑,建立在预期经济理论基础上,预期收益大小作为决定公司的价值高低的一种方法。收益法俗称收益还原法,是目前国内外公认主流资产评估方法之一。
在一定假设条件下,先测算公司未来期间产生的预期收益,根据公司经营特点和公司债务结构选择一个合适的折现率,把未来每期预期收益折现到评估时点的价值;然后每期未来收益现值加总,把现值之和作为公司评估价值的一种方法。一般认为在以下条件下适用:评估公司能够在可预期未来持续经营,并能够在未来每期产生一定收益,收益是明确可衡量的,产生的未来收益和带来的风险也可以确认的。
资产评估的收益法主要考虑三个主要参数:预期收益额、未来收益期、折现率。收益法的能否正确使用,主要关键点就是准确的确认预期收益额、未来收益期、永续期和折现率等参数。
预期收益和收益期根据公司的实际经营状况相对比较容易确定。但折现率作为影响评估价值最重要的因素,在收益法中不仅十分重要而且比较复杂,历来是评估的实务中的难题。其对估值极为敏感,小小的变动就可能对评估结果产生重大影响。
根据公司评估目的需要和公司实际情况,必须要确定适宜的折现率。采用与公司实际评估依据相匹配的折现率来进行资产评估,其具体内容为:折现率参数的适宜原则,是指采用的折现率参数和收益数额之间;折现率参数与收益期之间、折现率参数与其他评估依据资料之间,都保持评估内涵的和计算口径的统一。因此,折现率和未来预期收益数、未来收益期限等的匹配特别重要。
确定折现率必须考虑风险报酬原则。本文认为投资者所追求的不仅仅是无风险报酬,如果仅仅考虑无风险报酬率就不会存在各种社会风险投资。公司收益往往包含着风险收益,还要认识到追求高收益是推动公司发展活力,高收益就存在着风险收益的贡献。公司在资产价值评估时,要考虑风险报酬因素的存在。风险报酬率往往和公司具体的行业、经营、市场、内部管理、竞争、政策风险等因素有关。在综合分析考虑目标公司经营现状和未来发展态势等因素基础上,要适当借鉴公开市场的同行业,尤其是同行业上市公司的投资报酬率和风险等情况,最后加以确定。
具体的折现率选择参考标准主要是:无风险报酬率加风险报酬率法;资本资产收益率法;行业平均资金收益率法。
2.2.3市场法
市场法是指评估对象在市场中有相似的参考公司交易案例,将权益性资产与交易案例进行比较,利用相关性来确认公司的价值的评估方法。市场法比较常用两种方法具体是:参考公司比较法和并购案例比较法。
参考公司比较法是在成熟资本市场上选择与目标公司行业相同或行业近似的上市公司,并对其具体财务数据比较分析。再根据公司与参考公司的差异因素来修正,测算出符合市场环境和公司实际经营情况的相关比率指标,综合分析估算得出评估公司市场价值。
并购案例比较法是指通过分析与目标公司行业相同或类似、规模差距不大、交易环境和背景差异不大的相关公司并购案例。将交易案例的数据资料进行分析测算修正,估算出合适价值比率指标。目标公司在此基础上综合比较分析,计算出目标公司价值的一种方法。
在使用参考公司比较法或者并购案例比较法这两种方法时,选取相关案例时要特别注意以下几方面因素:行业是否相同或类似;经营模式没有明显差别;交易日期不能距离太远;交易环境和背景没有特殊;公司规模基本相同。然后才能把参考公司的相关数据进行分析选择、计算、修正,使用价值比率测算得出评估结果。一般在市场中可选择的交易案例很少,无法找到足够的案例样本来进行分析计算,故在评估实务中应用较少。
2.3公司价值评估模型
公司价值评估使用的模型目的是把预测数据输入模型,通过计算评估出公司价值。在日常实务中根据评估目的和公司的特点使用不同评估模型,目前评估模型有多种类型。它们主要分为以下几种类型:
2.3.1现金流量折现模型
现金流量折现模型的是未来收益如何通过折现反映其时间价值,通常就是资产(包括公司或股权)现在的价值是其未来现金流量折现的现值。
公司是资产的组合,兼具资产的一般特征。它又与一般实物资产有区别,是比较特殊的资产。他可以给投资者带来预期现金流量,认为产生现金流越大则其价值越大;但是其产生的现金流都具有一定不确定性,都存在一定的风险,包含风险价值在里面;它们的现金流是未来连续产生的,但是其价值是现时的,必须通过折现到现在的价值。
公司价值评估认为公司是永续经营的,理论上可以无限期经营下去,无限期现金流折现问题必须要处理;一般公司产生收益都要留下一部分用于公司再生产,并能给所有者带来更多的现金流。公司经营所带来的现金流只有在分配的时候,才给投资者带来实实在在的回报,为了反映投资者持有公司的价值一般采用现金流折现方法体现其价值。基本理念是把未来预测每年现金流量按照一定折现率折现求和,以此作为公司当下的价值,其基本的模型为:
现金流量一般有股利现金流、股权现金流和实体现金流量三种不同的形式,其分别对应着三种评估模型,分别是股利现金流量模型、股权现金流量模型和实体现金流量模型。
(1) 股利现金流量模型 投资者投资股票是为了获取更大利益,而其利益来源于未来预期收益。其预期收益主要体现在两部分:其一是在股票持有期间获得股票分红(分配的股利);其二是股票出让时获得的收益。将来的股票价格和公司未来能够分配的股利多少有关,所以投资者投资股票的价值本质上也就是未来分配的股利的折现到当前的价值。所以股利现金流量是投资人从被投资公司未来分红得到的现金流量,根据股票的风险及当时社会和公司的经营模式选择一定的折现率,此模型的折现率必须与股东要求报酬率相匹配,基本模型如下:
(2) 股权现金流量模型 股权现金流量是股东在一定的经营期间能够支配使用的现金流量,其股权现金流量是公司未来生产经营产生的总现金流量扣除支付给债权人资金成本后剩余现金流量,还有扣除维持正常生产经营必须留存的那一部分现金流量。一般认为是实体现金流量扣减债务现金流量后的之差,可以由股东使用的这部分现金流量。理论上也可以作为分红回馈给股东,故折现率应为股权投资成本,其基本形式为:
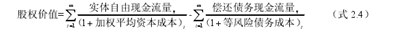
(3) 实体现金流量模型 实体现金流量是公司产生经营现金流入扣减维持公司正常生产经营所必须成本费用及发展需要的支出现金流后剩余现金流量,可以由债权人和股东使用支配的最大现金流。因为支付给债权人的利息包含在实体现金流量中,是债权人和股权投资人都可以分配到的现金流,所以折现率必须考虑债务价值和权益价值结构,该模型的具体形式为:
一般情况下理论认为,这三种模型的计算结果应当是没有区别的。但是股利现金流量模型容易受到公司董事会和管理层对股利分配政策喜好不同,其股利分配政策存在变数,股利现金流量的预测不确定性也很大,只有假设公司不再预留未来发展留存资金(需要时股东再投资),股权所得到的剩余现金流全部分配给股东,只有这样股利现金流量和股权现金流量才是一致的。综合考虑股利现金流受收股利分配政策的影响,其股利现金流的难以准确预测。因此股利现金流量评估模型在日常评估实务中基本很少使用,一般都是选择股权价值模型和实体价值模型来评估公司价值。
2.3.2相对价值评估模型
相对价值评估模型顾名思义是一种对照类似参照物确定公司价值的一种方法。
其评估原理是要在资本市场中,选取同一行业中和评估公司差不多可比公司的财务数据进行对比分析,测算出合适的比值关系,利用其与可比公司的比值关系计算评估股权价值的评估方法。通常有市盈率模型、市销率模型、市净率三种评估模型。
(1)市盈率模型 市盈率一般俗称P/E倍数,其计算方法也就是每股股价除以当时每股收益。其市盈率估值的模型表述如下:
该模型假设公司的股价和公司的每股收益存在正相关的倍数关系,假设市盈率维持一个数值的话,每股收益变化必然带来每股股价的变化,收益越大股价越高。
因此目标公司的每股股权价值是可比公司市盈率乘以目标公司每股收益。公司的股权价值(俗称市值)是上市总股数乘以公司每股股价。一般认为该模型适用于连续盈利的公司,亏损公司及微利公司一般不适用。
(2)市净率模型 市净率一般又称P/B倍数,是指每股股价与每股净资产的比值,市净率估值的模型表述如下:
一般在每股股价和每股净资产存在着一定的相关性假设前提下,一般来说每股股价随着每股净资产的增加而增加。通常同行业类似公司之间的市净率具有一定可比性,公司股权价值等于可比公司的修正的市净率乘以公司净资产。一般来说对于净资产为正且比较大的公司比较实用。
(3)市销率模型 市销率一般称P/S倍数,是指每股股价与每股销售收入的比率,具体模型表述如下:
该模型认为每股股票价格对销售收入比较敏感,销售收入对其价格影响比较大,每股销售收入和每股股价之间存在着一定的函数关系。一般认为每股股价和每股销售收入正相关,随着每股销售收入增加股价也随着增加。所以估值公司的股权价值等于可比公司的市销率乘以公司的销售收入。该模型主要适用于销售成本率趋同的传统行业或销售成本比较低的服务类公司。
2.4本章小结
本章介绍了公司价值评估的理论基础,公司整体价值的概念和类别;分析了关于评估公司价值的资产基础法、收益法、市场法三种常用的评估方法,介绍这三种评估方法概念及其特点;也阐述了现金流折现模型和相对价值模型两种评估模型,并分析了每种评估模型的原理及使用范围。
返回本篇文章目录导航↑
2.1.2公司的整体经济价值类别
公司的整体价值可分为:实际经济价值和股权价值、持续经营价值和清算价值。
(1)真实经济价值和权益价值在市场上收购一家公司时,你可以购买卖方的资产而不招致任何债务,或者你可以购买其股票并同时承担其债务。例如,X公司以5亿元购买了Y公司的全部股份,并承担了Y公司2亿元的原始债务。此次收购的经济成本为7亿元。通常,人们说x收购的y公司花费了5亿元,但这并不准确。对于x公司的股东来说,他们不仅要支付5亿美元的现金,还要以书面协议的形式支付2亿美元的债务。事实上,他们必须支付7亿美元,现在支付5亿美元,将来支付2亿美元,所以他们用7亿美元购买了Y公司的所有资产。因此,公司的资产价值和股权价值是非常不同的。公司实体价值包括股权价值和债务价值,即公司所有资产的总价值称为“公司实体价值”。这里的权益价值不是财务报表中所有者权益的账面价值,而是资本市场中的公平市场价值。债务的价值不是报表上的账面价值,而是债务的公平市场价值。大多数并购都是通过购买公司股权的方式进行的,因此评估的最终目的和双方谈判的重点是卖方公司股权的价值。因此,买方的实际交易成本等于公司的股权价值加上未来要偿还的债务价值。
(2)有两种向所有者提供价值的方式:其经营产生的未来现金流的现值称为持续经营价值;停业后清算和出售产生的现金流价值称为清算价值。必须清楚被评估公司是持续经营公司还是清算公司,以及被评估价值是持续经营价值还是清算价值。在大多数情况下,会评估公司持续经营的价值。公司持续经营的基本条件是其持续经营价值超过清算价值。根据财务管理的“自利原则”,当未来现金流的现值大于清算价值时,投资者将选择继续经营。如果由于现金流减少或资本成本增加,未来现金流的现值低于清算价值,投资者将选择清算。公司持续经营价值低于清算价值的,应当按照清算价值进行清算。然而,也有例外,即那些控制公司的人拒绝清算,公司可以继续经营。这种持续经营损害了股东通过清算可能获得的价值。
2.2公司价值评估方法
公司价值评估有三种主要方法,即资产法、收益法和市场法。
2.2.1基于资产的方法
基于资产的方法,俗称成本法评估,是一种基于被评估公司资产负债表中资产和负债的财务数据来衡量公司价值的评估方法。
基于资产的方法是评估和估计被评估公司资产存量以确认其价值的方法。在评估公司资产的公允价值时,有必要根据评估目的和要求选择合适的资产价值评估方法。
基于资产的方法一般包括五种评估方法,具体为:重置成本法、市值法、账面价值法、公允价值法和清算价值法。五种资产评估方法的适用范围和要求不同,差异很大。一般来说,企业破产清算受《清算价值法》管辖。如果是以并购为目的并基于公司的持续经营,一般重置成本和市场法是重要的评估方法选择。对于单个资产的出售,选择清算价值或市场价值通常更合适。
账面价值法根据会计历史账簿中记录的静态净资产来确定价值,这是一种静态估值方法。通常,它不太适用于资本市场,一般适用于国有企业之间的资产转移。
清算价值法是为清算目的评估资产价值的一种方法,因为公司不能继续经营或由于某种原因失去了继续经营的前提。一般来说,清算价值法评估的价值相对较低。
重置成本法是实践中广泛使用的评价方法。首先,评估公司每项资产在某一时间点的重置成本,并扣除使用造成的有形损失。技术和功能升级导致的功能贬值;外部原因造成的经济贬值应在扣除所有贬值后确认。总资产的重置价值是通过将个别资产的评估重置价值相加而获得的,然后减去总负债的市场价值以形成作为公司评估价值的价值。
市场价值法(market value method)是一种基于公平有效市场前提的假设性方法,在这种方法中,公司的资产在市场上具有确定的价格,并且能够实际上被推断出来。
综上所述,基于资产的方法只考虑各种资产的个别价值,不考虑公司的经营是一个有效的整体,也不考虑资产有效整合带来的收益,这与整个公司的内部评估价值有些不同。然而,该方法计算简单,数据容易获得,操作直观简单,易于理解,非专业人员可以接受。目前,它在我国的具体评估实践中得到广泛应用和重视。
基于资产的方法的最大缺点是,公司的价值仅从资产的静态角度来考虑,公司的实际价值是未来投资者的预期回报。公司没有考虑公司的未来发展等因素,只考虑了财务报表中包含的资产。无法具体反映的竞争优势、人力资源、管理优势、企业文化、渠道管理、合作伙伴关系等因素无法全面考虑,公司价值往往被低估。
2.2.2收益法
收益法一般是一种价值评估方法,它根据一定条件将公司给投资者带来的预期收益资本化,或者采用适当的折现率折现到评估时点。收益法是对公司未来盈利能力的动态考虑。它基于预期经济理论。预期收入被用作确定公司价值的一种方法。收益法,俗称收益还原法,是目前国内外公认的主流资产评估方法之一。
在某些假设下,首先计算公司未来期间的预期收入,根据公司的经营特点和公司的债务结构选择合适的折现率,并将未来每个期间的预期收入折现到评估时点的价值;然后总结每个时期未来收入的现值,并用现值之和作为公司评估价值的方法。一般认为,它适用于以下情况:评估公司可以在可预见的未来继续经营,并可以在未来的每个时期产生一定的收入。收入显然是可以衡量的,未来产生的收入和风险也可以得到确认。
资产评估的收益法主要考虑三个主要参数:预期收益、未来收益期和折现率。收益法能否正确使用,关键是要准确确定预期收益额、未来收益期、永久更新、贴现率等参数。
基于公司的实际运营状况,预期收益和收益期相对容易确定。然而,贴现率作为影响评价价值的最重要因素,在收益法中不仅非常重要,而且非常复杂,一直是评价实践中的难题。它对估价极其敏感,微小的变化可能会对评估结果产生重大影响。
根据公司评估目的的需要和公司的实际情况,必须确定适当的贴现率。资产按照与公司实际评估基础相匹配的贴现率进行评估。具体内容如下:贴现率参数的适用原则是指采用的贴现率参数与收入金额之间的差异;贴现率参数与收益期之间,贴现率参数与其他评估基础数据之间,评估和计算标准的内涵保持统一。因此,贴现率与未来预期收益和未来收益期限的匹配尤为重要。
在确定贴现率时,必须考虑风险回报原则。本文认为,投资者不仅追求无风险回报,如果只考虑无风险回报,就不会有各种社会风险投资。公司收入往往包括风险收入,但也认识到追求高收入是促进公司发展的生命力,高收入有风险收入的贡献。公司在评估资产价值时应考虑风险可赔因素的存在。风险收益率往往与公司的特定行业、经营、市场、内部管理、竞争、政策风险等因素有关。在综合分析和考虑目标公司当前经营状况和未来发展趋势等因素的基础上,有必要在公开市场上适当借鉴同行业特别是同行业上市公司的投资回报率和风险,并最终确定它们。
具体贴现率选择参考标准主要有:无风险收益率加风险收益率法;资本资产收益率法;行业平均资本回报率法。
2.2.3市场法
市场法是指评估对象在市场上具有类似的参考公司交易案例,将股权资产与交易案例进行比较,并利用相关性确定公司价值的评估方法。市场法中常用的两种方法是:参考公司比较法和并购案例比较法。
参考公司比较法(Reference Company Comparison Method)是选择成熟资本市场中与目标公司具有相同或相似行业的上市公司,并对其具体财务数据进行比较分析。根据公司与参照公司的差异因素,计算出符合市场环境和公司实际运营的相关比率指标,并通过综合分析和估算对公司的市场价值进行评估。
并购案例比较法是指对与目标公司行业相同或相似、规模、交易环境和背景差异不大的关联公司并购案例的分析。分析、计算和修改交易案例数据,以估计适当的价值比率指数。在此基础上,目标公司进行综合比较分析,计算目标公司的价值。
使用参考公司比较法或并购案例比较法时,在选择相关案例时应特别注意以下因素:行业是否相同或相似;商业模式没有明显的区别。交易日期不能太远;没有特殊的交易环境和背景;公司的规模基本相同。然后对参考公司的相关数据进行分析、选择、计算和修正,并通过价值比率计算得到评价结果。一般来说,市场上可供选择的交易案例很少,也不可能找到足够的案例样本进行分析和计算,因此很少在评价实践中应用。
2.3公司价值评估模型
公司价值评估中使用的模型是将预测数据输入模型,并通过计算对公司价值进行评估。在日常实践中,根据评估的目的和公司的特点,使用不同的评估模型。目前,有许多类型的评估模型。它们主要分为以下类型:
2.3.1贴现现金流模型
贴现现金流模型是未来收入如何通过贴现反映其时间价值,这通常是指资产(包括公司或权益)的现值是其未来现金流的贴现现值。
公司是具有资产一般特征的资产组合。它也不同于一般的实物资产,是一种特殊的资产。他可以给投资者带来预期的现金流,认为产生的现金流越大,其价值就越大;然而,它们产生的现金流具有一定的不确定性和风险,包括风险价值。他们的现金流在未来不断产生,但他们的价值是当前的,必须贴现到当前价值。
公司的价值评估认为,公司是可持续的,理论上可以无限期运营。必须解决无限期贴现现金流的问题。一般来说,公司产生的利润应该留作再生产之用,并能给所有者带来更多的现金流。公司运营的现金流只有在被分配时才会给投资者带来真正的回报。为了反映投资者所持有的公司价值,一般采用贴现现金流法来反映其价值。其基本思想是将未来预测的年度现金流按照一定的贴现率作为公司的现值进行贴现和求和。它的基本模型是:返回本文的目录导航



